Chủ Nhật, 6 tháng 9, 2015

Mặt cong bậc ba Hermit

3.Mặt cong bậc ba Hermit:

       Phải đảm bảo là đường cong không gian với 3 trục toạ độ x, y, z. Tránh được những tính toán phức tạp và những phần nhấp nhô ngoài ý muốn xuất hiện ở những đường đa thức bậc cao. Công thức mô tả:

Tường minh : y = f3 (x),z = g3 (x)
 Không tường minh: f3 (x,y,z) = 0

Đường cong đa thức bậc 3
 Biểu diễn các đường cong tham biến (Parametric representation):
x = f3 (u), y = f3 (u), z = f3 (u) trong đó u ∈[0 1]

Theo Lagrange:
x = a1 + b1u + c1u2 + d1u3 y = a2 + b2u + c2u2 + d2u3 z = a3 + b3u + c3u2 + d3u3

 Ở đây ba phương trình với 12 ẩn số

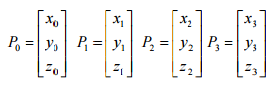
Với 4 điểm p0, p1, p2, p3 phương trình xác định (vì 4 điểm thì xác định 1 đường cong trong không gian).
Mỗi 1 điểm cho ta cặp 3 giá trị:


Cả thảy có 12 phương trình, thay vào 3 phương trình trên ta tính được 12 ẩn a1.....d3

Ghi chú: rõ ràng có sự thay đổi một chút về đường cong thì ta lại phải giải lại hệ phương trình để tính các tham số cho đường cong, dẫn đến tính toán chậm.








Không có nhận xét nào:

Đăng nhận xét